微信咨询

400-888-5135

3nh@3nh.com

新闻动态

色度计精度是怎么获得的?

发布时间:2022-07-22 10:46:08  

色度计及其三色过滤系统具有固有的局限性。简而言之,过滤检测器进行 CIE 颜色匹配并不容易。实际上,正在使用单独的滤光片来获取光并分离三种颜色波长(宽带)。此外,3个滤光片通常是从单个多色滤光片切割而成的。这种多色滤光片通常在切割前进行涂层处理。但是涂层并不总是均匀地分布在整个表面上,并且可能会导致单个零件的更多不一致。

毕竟,必须从3种颜色中获取数据并将它们重新组合在一起以到达颜色图上的一个点。

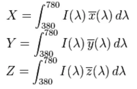
下图是3个光片公式的计算方法:

色度计精度是怎么获得的

在线客服
联系方式
  • 400-888-5135
  • 3nh@3nh.com
Baidu
ac米兰app苹果